
【爆死】信託報酬1.5%の投資信託を買ってしまったワイ、マジで終了www
「おすすめですよ〜」の営業トークを鵜呑みにして、よく分からん投信にNISA枠ブチ込んだ結果…
信託報酬“年1.5%”という地雷ファンドで、ガチで資産削られ続けてて草も生えん…。
【体験談】「信託報酬?なにそれおいしいの?」なワイ、撃沈w
マジで当時の自分をぶん殴りたい。
「毎月分配あるし安心!」とか思ってたあの頃。気づけば基準価額は右肩下がり、トータルリターンはマイナス14%。しかも“分配金=元本払い戻し”って気づいたの、運用3年目w
調べたら信託報酬が年1.5%。運用成績が悪いどころか、ほぼ手数料で食われてるだけだったwww
【比較】信託報酬が違うだけでこんなに差がつく?
| ファンド種別 | 信託報酬 | 10年後の資産額(100万円スタート) | 年率リターン |
|---|---|---|---|
| 超低コストインデックス | 0.1% | 約192万円 | 年6.9% |
| 高コストアクティブ | 1.5% | 約162万円 | 年5.5% |
【解説】信託報酬が高いと“複利の力”が台無しに
- 年1%の差でも10年で30万円以上の差に
- リターンが出てても、手数料で削られる
- 毎年“自動で”取られるため気づきにくい
- 分配金があっても、実質トータルはマイナスも多い
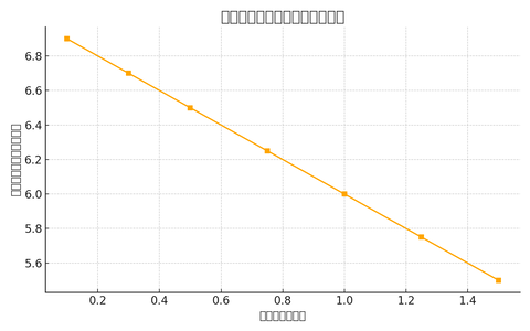
【グラフ①】信託報酬の違いによる資産成長シミュレーション

【グラフ②】信託報酬が上がるとリターンがどう減るか

【対策】これから始める人が地雷を踏まないために
- まず「信託報酬」を確認(1%以上は避ける)
- 分配金あり=良い投信ではない(元本削り型も)
- 商品を買う前に「トータルリターン」で比較
【PR】資産形成の相談先はこちら
資産形成の相談先はこちら【PR】証券デビューの第一歩はこちら
証券デビューの第一歩はこちら【PR】FXについて詳しくはこちら
【PR】【DMM FX】について詳しくはこちら▼さらに深掘りした戦略は、noteで限定公開中👇
▼関連記事
- 【衝撃】NISAの出口戦略、間違えると税金で死亡する件www
- 【地獄】高配当ETFで失敗したワイ、3つの凡ミスで資産半減www
- 【爆死】つみたてNISAに全ツッパした結果wwwリターンが●●%で草
- 【裏技】配当金の税金を“合法的に減らす方法”まとめ
- 【爆死】NISAでコレ買った奴、全員地獄wwwワースト銘柄がコレwww
【裏側】信託報酬1.5%の中身は“損する設計”だった件
ぶっちゃけ、ワイが買った某アクティブ投信の“信託報酬1.5%”ってのは、人件費+広告費+営業インセンティブの塊だった。
しかも、よく見たら「販売会社 0.7%」「運用会社 0.5%」「信託銀行 0.3%」とかいうトリプル取り構造。
誰が得してるかって?自分以外、全員やwww
しかも信託報酬は“純資産ベースで毎日自動で引かれる”。つまり、黙ってても運用成績が悪くても、手数料だけは確実に抜かれる仕組み。
【補足】アクティブ投信 vs インデックスの“地獄の結末”
| 投資タイプ | 信託報酬 | 平均年率リターン(過去10年) | リスク |
|---|---|---|---|
| インデックス(S&P500系) | 0.0968% | 年7.2% | 中〜高 |
| アクティブ(国内型) | 1.5〜2.0% | 年4.0〜5.0% | 中〜高 |
アクティブ投信って「ファンドマネージャーが頑張って選別してる」とか言うけど、実際の成績はインデックスにすら勝ててない。
なのに手数料だけはしっかり高くて、運用益はカス…これマジで情弱殺しのビジネスモデルだろw
【補足】「毎月分配型」という甘い罠
ワイがやられたもう一つの罠、それが「毎月分配型」だった。
- 見た目の利回りは高い(6〜8%)
- 実際は「元本払い戻し」でタコ足配当
- 基準価格は毎月じわじわ減少
- 気づいた時には“配当も元本もスッカラカン”
この構造、初心者から金を吸い上げる“合法スキーム”すぎて震えるw
【本音】今からでも間に合う“やり直しプラン”
- まずは「損切りライン」を明確に(ズルズル持つと地獄)
- 低コスト・広範囲分散のETF or 投信に切り替える
- 余力があれば新NISA活用(非課税リセット)
「回収できる損」と「もう戻らない損」を切り分けること。投資は一発逆転よりも“損を最小限に抑える技術”がモノを言う。
【現実】「知らなかった」だけで資産が削れる世界
信託報酬とか、分配金とか、最初はどうでもいいと思ってた。
でも、毎月じわじわ資産が減ってく地獄を体験すると、「知ってるか知らないか」が資産運用ではすべてなんや…。
もうワイみたいに“知らずに損する人”が出ませんように。
【ここから巻き返す人だけが“生き残る”】
投資の世界は「知ってるだけで有利になるゲーム」。
信託報酬に気づけた今が、損切りでも、積立リスタートでも、分散再構築でも──再スタートのチャンス。
「やらかしから学んで次につなげる」それが、情弱ワイの唯一の成功体験かもしれん。
もしこの記事が「自分も似たような状況だ」と思ったら、次の一手はもう決まってる👇







