【驚愕】借金まみれのワイ、バビロン方式で奇跡の逆転劇w
借金カード地獄で「もう終わりや…」と布団の中で震えてたワイ。
5chに「自己破産しとけw」と煽られる未来しか見えなかったけど、たまたま手に取った『バビロンの大富豪』が転機になった件w
◆導入:ワイ、消費者金融にドはまりw
給料日前に毎回ATM直行→返済のためにまた借金→利息で首が回らない。
「給料全ツッパで高配当株買えば勝てるやろw」と思ってやらかしたら、含み損地獄でさらに借金膨張。完全に詰んでた。
◆体験談:バビロン方式で逆転を狙うワイ
本を読んで衝撃やったのは「収入の1割を必ず貯めよ」って鉄則。ワイみたいに浪費家でも「自動で天引き」さえすれば金は残る。最初は5000円からでも始めたら「お?増えてるやん」って感覚が芽生えて、借金返済+貯蓄にシフトできた。笑えるけど、マジでこの小さな習慣がワイの逆転劇の起点やった。
◆比較:積立 vs 一括投資
| 項目 | 積立投資 | 一括投資 |
|---|---|---|
| リスク | 時間分散で下落耐性◎ | 購入タイミング次第で爆死リスク大 |
| リターン | 安定的に積み上げ | 相場が右肩上がりなら爆益 |
| 心理負担 | 毎月定額で安心 | 短期の下落で心が折れやすい |
| 初心者向け度 | ★★★★★ | ★☆☆☆☆ |
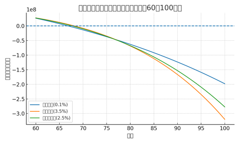
◆真面目な分析:信託報酬とリターンの関係
バビロンの教えを実際の投資に応用するなら「低コストを選べ」という話に繋がる。信託報酬が年1%違うだけで、20年後には資産に数百万円の差が出る。特に新NISAを使うなら、以下のポイントは絶対に抑えておきたい。
- 信託報酬は年0.1〜0.3%を目安に
- 分配金利回りだけで飛びつかない
- 指数に連動するシンプルな商品を軸に
◆グラフ①:配当推移の比較
◆グラフ②:信託報酬 vs リターン
◆対策:初心者が損しないための3ステップ
- 収入の1割を必ず天引きして貯める
- 余剰資金で積立投資を開始する
- 高コスト商品や地雷銘柄を避ける
これを実行するだけで「借金まみれワイ」でも資産形成ルートに乗れた。シンプルだけどバカにできない。地道な積立は裏切らない。
資産形成の相談先はこちら◆note誘導
さらに深掘りした戦略は、noteで限定公開中👇
note限定記事はこちら
◆関連記事リンク
- 【衝撃】NISAの出口戦略、間違えると税金で死亡する件www
- 【地獄】高配当ETFで失敗したワイ、3つの凡ミスで資産半減www
- 【爆死】つみたてNISAに全ツッパした結果wwwリターンが●●%で草
- 【裏技】配当金の税金を“合法的に減らす方法”まとめ
- 【爆死】NISAでコレ買った奴、全員地獄wwwワースト銘柄がコレwww
◆心理面:借金から解放されるメンタルの変化
最初に変わったのは「お金が減らない安心感」だった。
これまでのワイは給料が入った瞬間に散財、月末は借金の返済に怯える日々。だが自動で天引きして貯蓄が増えていくと、精神的な余裕が出てきた。投資の世界では「負けないメンタル」が一番大事と言われるが、まさにそれを体感した瞬間だった。
◆生活改善:支出を管理する小さな工夫
- コンビニ通いをやめて、週末にまとめ買い
- サブスクを3つ解約して月5000円を浮かせる
- キャッシュレス決済アプリで毎週の支出を自動記録
こうした“ミクロの節約”は軽視されがちだが、バビロン流に言えば「小さな金を守れる者が大金を守れる」ってこと。ワイの場合、浮いた5000円がそのまま積立投資の原資になり、雪だるま式に資産が膨らんでいった。
◆出口戦略:積立をいつ取り崩すか問題
積立投資の最大の罠は「出口戦略を考えないまま放置すること」。老後に向けて資産を取り崩すとき、配当重視なのか、定率売却なのかでシミュレーションが大きく変わる。例えば1000万円を年4%ずつ取り崩せば25年持つ計算だが、配当株中心なら元本を減らさずに生活費を得られる可能性もある。
◆年代別アプローチ
| 年代 | おすすめ戦略 | 理由 |
|---|---|---|
| 20代 | 積立×成長株ETF | 時間を味方に複利を最大化 |
| 30代 | 積立+高配当ETFの比率UP | 安定感を増やしつつ育児・住宅資金に備える |
| 40代 | 高配当+REITを組み合わせ | 配当+不動産収入のダブルインカム |
| 50代 | 債券ETFを一部導入 | ボラティリティを抑えて出口に備える |
ワイが失敗したのは「年齢に合わないリスク商品に全ツッパ」したこと。年代別の戦略を考えていれば、借金地獄なんかに陥らなかったはずや。
◆バビロンの教えを現代に落とし込む
『バビロンの大富豪』の時代は金貨や土地が資産の中心やったが、現代はETF・REIT・インデックスファンド。
ただし「収入の一部を守り、働かせる」という普遍の法則は同じや。つまり時代が変わっても原理原則は不変。バビロン方式を実行するかどうかが、貧乏か資産家かの分岐点になる。











![敗者のゲーム[原著第8版] (日本経済新聞出版)](https://m.media-amazon.com/images/I/41VOwrHoGyL._SL160_.jpg)



